- Research Briefing
- Published:
Nature Energy volume 9, pages 775–776 (2024)Cite this article
-
1854 Accesses
-
9 Citations
-
56 Altmetric
Subjects
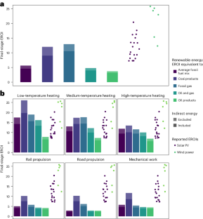
A key issue in net energy analysis is the omission of the effects of end-use efficiencies on the energy returns of technologies. Now, an analysis shows that these effects strongly favour the energy returns of wind power and solar photovoltaics, which are found to be higher than those of fossil fuels.
This is a preview of subscription content, access via your institution
Access options
Access Nature and 54 other Nature Portfolio journals
Get Nature+, our best-value online-access subscription
$32.99 / 30 days
cancel any time
Subscribe to this journal
Receive 12 digital issues and online access to articles
$119.00 per year
only $9.92 per issue
Buy this article
- Purchase on SpringerLink
- Instant access to the full article PDF.
USD 39.95
Prices may be subject to local taxes which are calculated during checkout

The alternative text for this image may have been generated using AI.
References
Raugei, M. & Leccisi, E. A comprehensive assessment of the energy performance of electricity generation technologies deployed in the United Kingdom. Energy Policy 90, 46–59 (2020). This article presents a net energy analysis of electricity generation technologies.
Marshall, Z. et al. A country-level primary-final-useful (CL-PFU) energy and exergy database v1.2, 1960-2020. University of Leeds Data Repository (5 February 2024); https://archive.researchdata.leeds.ac.uk/1234/. The online repository associated with the CL-PFU database that we used to determine the useful-stage EROIs.
Slameršak, A., Kallis, G. & O’Neill, D. W. Energy requirements and carbon emissions for a low-carbon energy transition. Nat. Commun. 13, 6932 (2022). This paper reports a dynamic analysis of the net energy aspects and CO2 emissions of the energy transition.
Heun, M. K., Marshall, Z. & Aramendia, E. CLPFUDatabase: A suite of R packages for energy conversion chain analysis. J. Open Source Softw. 9, 6057 (2024). This paper introduces the software developed to build the CL-PFU database used in this work.
Murphy, D. J., Raugei, M., Carbajales-Dale, M. & Rubio Estrada, B. Energy return on investment of major energy carriers: review and harmonisation. Sustainability 14, 7098 (2022). An article that reviews and harmonizes the EROIs published in the literature for major energy carriers.
Additional information
Publisher’s note Springer Nature remains neutral with regard to jurisdictional claims in published maps and institutional affiliations.
This is a summary of: Aramendia, A. et al. Estimation of useful-stage energy returns on investment for fossil fuels and implications for renewable energy systems. Nat. Energy https://doi.org/10.1038/s41560-024-01518-6 (2024).
Rights and permissions
About this article
Cite this article
Wind power and solar photovoltaics found to have higher energy returns than fossil fuels. Nat Energy 9, 775–776 (2024). https://doi.org/10.1038/s41560-024-01520-y
Published:
Version of record:
Issue date:
DOI: https://doi.org/10.1038/s41560-024-01520-y