In fielding questions recently from patients and physician colleagues about peptides, I was prompted to look into the field at more depth. There’s no question that the use of many of these has surged, in part because of their putative anti-aging effects or other unsubstantiated health claims, along with endorsements by celebrities, longevity, and “wellness” influencers.
To review: a peptide is a short chain of amino acids that is linked by peptide (carboxyl group) bonds after a condensation reaction, removing H2O. The example below is the simplest of just 2 amino acids connected.
In this Ground Truths post I’ll review them by 2 categories: (1) the peptides that have been FDA approved but are getting extensive off-label use; and (2) peptides without FDA approval. Then we’ll get into the implications of the peptide surge.
In the Table below, I’ve summarized 4 FDA-Approved peptides (one of them is a class, GLP-1s). I’ve previously reviewed the GLP-1 family of peptides extensively (here and here) and it seems every week there is a new potential use case, such as we recently saw for migraine and the one—Alzheimer’s disease— that we await with a very high level of anticipation in September from the 2 large trials with semaglutide. These are one of, if not the most rigorously studied class of peptides ever, with many large, placebo-controlled, randomized trials that followed over the past twenty years from the original GLP-1 drugs such as exenatide, approved by the FDA in 2005. With all the expanding possible indications, the GLP-1 peptides are being prescribed off-label for many purposes, and now people are “microdosing” the drugs despite the lack of data. We recently learned of an elite drug rehab center this is using GLP-1 drugs as the primary method to treat addiction.
There’s a big gap from GLP-1s to the others on the list above , which includes 2 growth-hormone releasing hormone peptides. Sermorelin was previously approved by FDA in 1997 but withdrawn in 2008. So the term “off-label” is off here since it does not have current FDA approval. Nonetheless, it is getting frequently prescribed for increasing muscle mass and putative, unproven, anti-aging benefit. Closely related in Tesamorelin, which is an FDA approved drug for a narrow indication: patients with HIV lipodystrophy. Yet it is being prescribed for healthy individuals to reduce abdominal fat, improve muscle mass and cognitive health. Thymosin Alpha-1 (Zadaxin) is an approved drug for chronic hepatitis B (and hep C outside the US) and during cancer chemotherapy induction. It is being prescribed off-label to rev up a person’s immune system, foster “immune health.” I will get to the adverse effects of these peptides later in the post.
This is where much of the surge in use of peptides is occurring. The structures of some of the most used peptides are shown below
Below is my summary Table for those and a few additional ones that are getting used. BPC-157 stands for Body Protection Compound-157, derived from a human gastric juice protein. CJC-1295 releases growth hormone, as does Ipamorelin, and these given together may have synergistic (more than additive) effects, which explains why they are frequently provided as a combination. Note the confluence of drugs working on the growth hormone axis in this Table and the one above. There’s also AOD 9604, a growth hormone fragment peptide, being promoted for the same claims. The other peptides, including Epitalon, GHK-Cu, TB-500, Cerebrolysin, Dihexa, and Melanotan II, are summarized below for their presumed mechanism and many purported benefits. The most important column is the last one—there is no evidence from randomized trials in humans that any of these peptides provide the benefits that are advocated. As seen below, two of the peptides have been prohibited by the World Anti-Doping Agency. Collectively, these peptides are being sold under the rubric of “research chemicals” to bypass FDA review. Not shown on the list because they are strictly oral are the collagen peptides which are widely marketed and not-FDA approved.
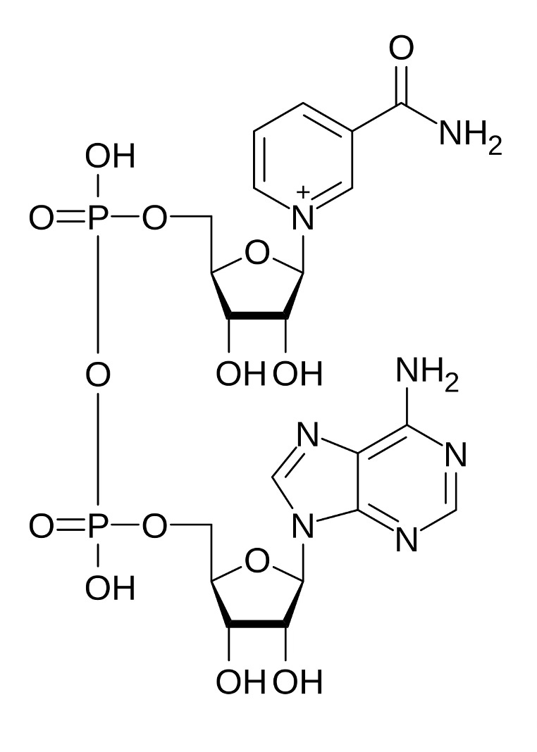
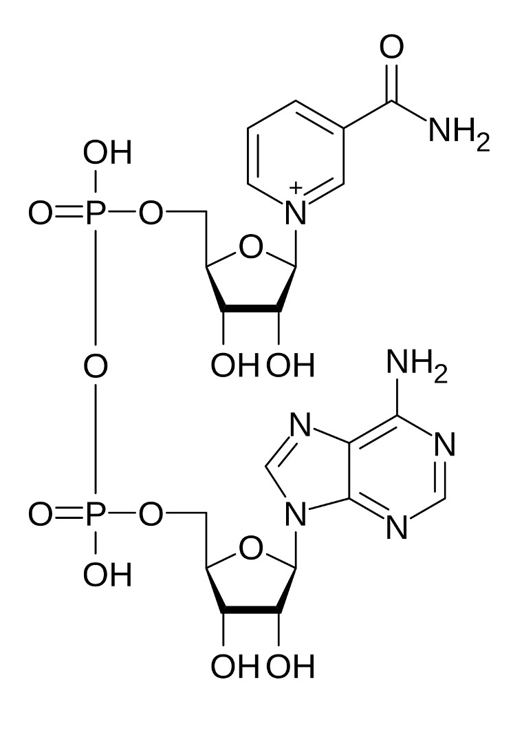
Nicotinamide adenine dinucleotide (NAD) is not a peptide since the connection between adenine and nicotinamide is not a peptide bond but instead what is known as a glycosidic bond. Despite that, many companies that market NAD+ are calling it NAD+ peptide. It is a natural occurring enzyme in every cell throughout the body that has a pivotal function in energy metabolism (storing and transfer) . The oral preparation are precursors such as nicotinamide riboside (NR) and nicotinamide mononucleotide (NM). A transdermal preparation is now being marketed. They are promoted for “youth repair,” anti-aging, improved cognitive health and energy, even though there are no adequate data to support such claims in people. The main new trend in NAD+ is to get it by injection or infusion.
That trend hit home recently. My wife got a hold of the invitation below to see a property being listed with the perk of getting a free NAD+ shot, “the only anti-aging supplement you will ever need!” (I guess the champagne and light bites weren’t enough). The shots were being provided by a company LIVV that I had not heard of, referred to as a “private health club.”
More on the LIVV health club, a “cutting edge wellness center” that offers an $85,000 premium membership, and recently a lesser alternative of a $10,000 membership initiation fee and $995/month. They’ve got all the peptides and even combinations and some that I haven’t covered above.
Such as kisspeptin (a gonadotrophin releasing hormone analog for reproductive health, promoted for increasing libido) and KPV, lysine-proline-valine, an alpha melanocyte-stimulating hormone, with purported anti-inflammatory and wound healing effects.
You can also see below some special (proprietary) peptides like “LIVV FOREVER.”
It’s not just that any of these peptide preps are unproven, but get a hold of how much an injection costs. Here’s a sampling of the cost per injection of some I’ve reviewed above. I’m certain that LIVV is not alone but likely representative of many other wellness, longevity clinics that are selling peptides and NAD+.
They aren’t trivial, well beyond injection site swelling and redness. From the preclinical data for putative benefits there were also important side effects noted. For example, TB-500 was found to accelerate dormant tumor growth and disrupt the immune response in animal experiments. By virtue of inducing broad cell growth, growth hormone related peptides (CJC-1295, Ipamorelin, and Tesamorelin), carry the potential risk of cancer. That theoretical concern also exists for BPC-157 due to its promotion of healing and new blood vessel growth (angiogenesis). Hormonal imbalance may be precipitated by some of the peptides. Across the board, there is no way to know about the right dose, purity, potential contaminants, and the impact of long-term use in people. On the other hand, the adverse events of GLP-1 drugs have been extensively characterized from large randomized trials with placebo controls and, in the United States, from reports derived from 12% of Americans who are currently taking these drugs. Besides the acute phase gastrointestinal effects which may lead to up to 10% of people discontinuing the drugs, there are other potential GI side effects of obstruction, excessive loss of muscle mass, and potentially association with some eye disease adverse events.
While there are many influential voices, the people most associated with promoting peptides, and the ones they are linked with, are summarized in the Table below (generated by Deep Research). Besides those listed, RFK Jr. has strongly advocated BPC-157 and claimed the FDA has suppressed useful peptides. His friend Gary Brecka, who calls himself the Ultimate Human, has backed Sermorelin and the CJC-1295 and Ipamorelin combination.
As for NAD+ injections, there are many celebrity promoters who include Gwyneth Paltrow, Kendall Jenner, Jennifer Aniston, Halle Berry, Joe Rogan, Hailey Bieber, and Justin Bieber.
The peptide craze is unfounded. The evidence base for use of these drugs, either for off-label indications or as non-approved drugs, is wanting. There is a chance that peptides besides GLP-1s will eventually be demonstrated to provide health outcome benefits as seen in rodent pre-clinical models. But that has not been established in humans, and there are very limited ongoing clinical trials to illuminate the real efficacy and safety of these peptides.
Why have peptides become so popular without data to support the promotional claims? This, in part, reflects the challenge and mistrust of the medical establishment, which worsened during the Covid pandemic, but was already showing strong signs of opposition by the wide adoption of supplements (with a very similar lack of supportive data on efficacy and safety) long before 2020. Ironically, anti-vax individuals are against shots with as rigorous datasets as we’ve ever seen (e.g. >70,000 participants in the initial mRNA Covid vaccines randomized, double-blind, placebo-controlled trials released in late 2020) but happy to get injections of peptides for which there are scant if any data to support their use. The mistrust is further exacerbated by RFK Jr, the leader of U.S. Health and Human Services, who himself is advocating peptides, stem cells, and other interventions for which data are lacking. The anti-pharma industry position is understandable, with many scandals that have plagued the industry (such as Vioxx, Oxycontin, and several others) without any accountability of the companies or their senior management. No less the exemption of the Covid vaccine manufactures from any liability for adverse effects. But the companies making and promoting these peptides are not especially deserving of blind trust.
There is also a longevity fervor now, with longevity clinics, longevity companies (recently reviewed here), and longevity doctors. When I briefly posted last week about the LIVV company and free NAD+ shots on X, I got backlash from several longevity doctors who prescribe peptides in their medical practice. That wasn’t at all surprising.
When Dax Sheperd recently asked me about peptides in his popular Armchair Expert podcast, I gave him an overview without the details provided in this post. But it was clear that many people in his network, and in L.A., are taking peptides, especially with the list of celebrity influences provided above. Some recent patients of mine have asked if they should be taking peptides, no less physicians in San Diego sending me emails about what’s going on with peptides. While it may be a big thing only in California right now, it is likely to spread across the country with the trifecta of keen interest in wellness/longevity, the powerful effect of influencers, and the revolt against the U.S. medical establishment that is being cultivated.
With the lack of any FDA regulation or oversight of peptides, anyone can get in the business. For instance, I could start promoting BS-2025 and say it has potent anti-aging effects, revs up your immune system, increases muscle mass, libido and sexual function. If you paid $300 per injection each month and heard a celebrity endorsement, the likelihood of you experiencing these benefits would increase. And the doctor who prescribed it would refute the lack of data, saying the absence of evidence is not evidence of absence, and that his patients are deriving substantial benefit without side effects. Then a lab analyzed BS-2025 and found it was an inert placebo and you know what the BS stand for. Unfortunately, this is the potential scenario of peptide marketing and use in such an unregulated environment.
I hope you will find this brief review of the peptide landscape helpful. I remain open to evidence that any one of these peptides or NAD+ will eventually be shown to provide useful health outcome benefits. But that requires proof.
*************************************************************************
Thanks to many of you Ground Truth subscribers who helped put SUPER AGERS on the NYT bestseller list for 4 weeks so far. And for the positive feedback on the audio version that I narrated. It took a week to do the recording, but it seems well worth it from your comments.
I’m also appreciative for your reading and subscribing to Ground Truths.
If you found this interesting PLEASE share it!
That makes the work involved in putting these together especially worthwhile.
All content on Ground Truths—its newsletters, analyses, and podcasts, are free, open-access.
Paid subscriptions are voluntary and all proceeds from them go to support Scripps Research. They do allow for posting comments and questions, which I do my best to respond to. Please don't hesitate to post comments and give me feedback. Let me know topics that you would like to see covered.
Many thanks to those who have contributed—they have greatly helped fund our summer internship programs for the past two years.










